植物叶片信号传递文献解读 返回
植物叶片信号传递文献解读

发表时间: 2018 发表期刊:《Plant, cell and environment 》 影响因子: 5.415
背 景
植物感知外界环境变化后通过两条途径传递信息,一条是局部的胞内信号转导途径;另一条系统的长途的胞外信号转导途径。活性氧(ROS)和质外体的氧化还原状态在植物信号从质外体传递到细胞内部发挥着最重要的作用。
本文的研究假设为“在叶片对光信号的适应过程中,植物叶片中质外体的氧化还原转态激活/抑制感应蛋白的信号传递作用”。

文章思路

实验设计和取材

实验材料:野生型烟草以及转基因烟草
AO: ascorbate oxidase 抗坏血酸氧化酶
PAO:南瓜AO蛋白
TAO:烟草AO蛋白
结 果
1.AO活性的变化
PAO转基因材料中AO活性明显增强(25倍),TAO材料中的AO活性下降(15%)

双因素方差分析表明光强度以及时间因素都对AO活性影响显著

2.ascorbate的变化
叶片中ascorbate的总量并没有由于AO的活性发生差异变化,HL处理留下了一个持续的影响,两部分中ascorbate的含量随着光照时间的延长,含量增加(图a);质外体的ascorbate发生了显著的变化,HL处理并没有产生影响;
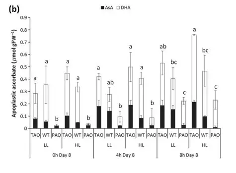
质外体的ascorbate发生了显著的变化:主要表现在材料中AO氧化性越强(PAO>WT>TAO),氧化作用越强;三种材料中,前期的HL作用并没有对质外体的ascorbate含量产生显著的影响;质外体中ascorbate的含量随着光照时间的延长,含量增加(光依赖),PAO中发生了10倍的变化,TAO中发生了2倍的变化(图b)。

总叶片ascorbate含量

质外体中ascorbate含量
3.强光照射对植物生长的影响比AO活性的影响更大
LL照射三周后,HL和LL各自照射一周表型 (4周表型),HL和LL处理间叶绿素和类胡萝卜素差异显著,但是不同基因型植物差异不显著。


不同光照强度下叶绿素和类胡萝卜素差异显著(HL<LL)
HL处理的样本植株叶片数量和表面积都显著大于LL处理的植物;无论是HL还是LL处理,AO活性越低的植物叶片表面积越大,虽然并不显著,说明AO活性低更有利于光合作用。

4.强辐射光照下低AO活性的更有利于光合作用
WT 和 PAO 植株中碳同化速率降低了10%,相反,TAO材料中光和作用碳同化速率与LL类似,说明HL条件下AO活性低的更有利于光合作用。

5.光照变化对叶片转录组的影响
对表达的基因进行双因素方差分析,发现7116个转录本的变化与光照改变相关,但是没有发现与基因型相关的变化基因,说明光照强度对基因表达的影响大大的超过了基因型对基因表达的影响。
对三种基因型中至少有一组样本中有显著差异的基因( 3859 transcripts)进行功能分析,发现大部分的差异基因变化在3种基因型材料中是一致的,也有少量的功能基因在不同的材料特异变化。

6.植物从强光到弱光照,代谢物质的变化受到AO活性的影响
双因素方差分析表明共有58个代谢物质的差异变化受到光照强度的影响;共有20个代谢物质由于AO活性的不同而产生变化(并且胁迫变化代谢物质与恢复处理差异代谢物质大部分不重合);有29个物质同时受到光照强度和AO活性的影响。

糖类、磷酸糖类和氨基酸类物质在光照胁迫下发生显著差异

结 论
1.叶片中低抗坏血酸氧化酶活性以及质外体中较低的氧化状态更有利于光合作用;
2.光照强度对叶片转录本和代谢组分的影响作用广泛,涉及到植物代谢的多个功能作用;
3.抗坏血酸氧化酶活性对叶片适应光照的改变产生一定的影响作用;

亮点:两因素实验设计,数据分析的时候采用双因素方差分析。
参考文献
Karpinska B, Zhang K, Rasool B, et al. The redox state of the apoplast influences the acclimation of photosynthesis and leaf metabolism to changing irradiance[J]. Plant, cell & environment, 2018, 41(5): 1083-1097.
更多的技术原创文章,可继续关注我们网站,同时关注基迪奥微信~扫一扫添加基迪奥好友~随时随地关注行业动态!
